Surprise Me!
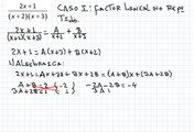
CASO I Y II COMBINACIÓN: FRACCIONES PARCIALES
2015-10-23
1
Dailymotion
Please enable JavaScript to view the
comments powered by Disqus.
Related Videos
Integral por Fracciones Parciales
CASO I: FRACCIONES PARCIALES
Integrales XI - Descomposición en fracciones parciales
Descomposición en Fracciones Parciales-Denominador con Raíces Complejas Conjugadas
Fracciones parciales- caso tres
Integración por Fracciones Parciales
CASO I: FRACCIONES PARCIALES
CASO I: FRACCIONES PARCIALES
Fracciones parciales
Ejercicio de fracciones parciales caso I